医直聘
全国[切换]
  • 首页
  • 职位
  • 单位
  • 招聘公告
  • 宣讲会
  • 医学工具
我要招聘我要找工作登录/注册

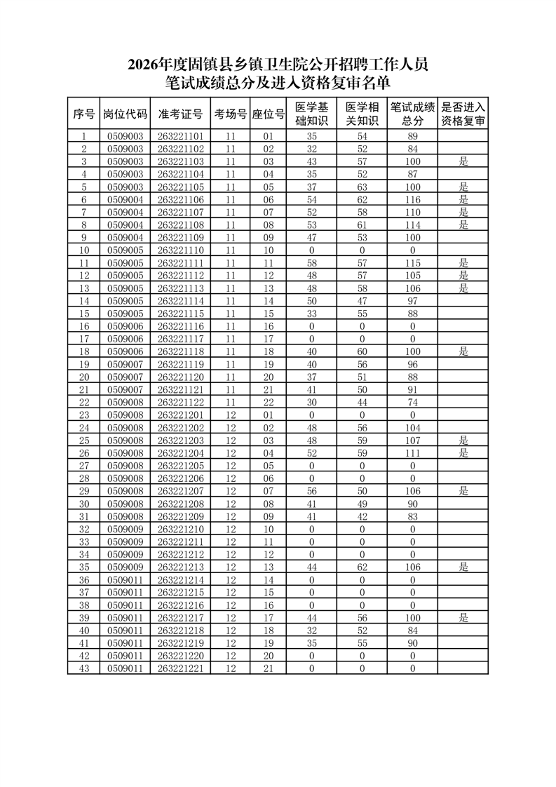
2026年度固镇县乡镇卫生院公开招聘工作人员笔试成绩总分及进入资格复审名单

发布单位:固镇县人民政府发布时间:2026-04-07 11:30:04

2026年度固镇县乡镇卫生院公开招聘工作人员笔试成绩总分及进入资格复审名单

发布日期:2026-04-07 11:11   作者:人社局信息员    来源:固镇县人力资源和社会保障局    阅读: 次   字体:[大 中 小]   保护视力色:

打印本页关闭

热门公告

  • [江苏] 南京市江宁区卫生健康委员会所属事业单位2026年公开招聘高层次卫技人才公告
  • [浙江] 2026年上半年绍兴市柯桥区卫生健康单位公开招聘事业人员公告
  • [浙江] 2026年嵊州市卫生健康局下属事业单位公开招聘工作人员公告
  • [贵州] 贵州医科大学附属医院2026年公开招聘合同制工作人员方案
  • [陕西] 西安医学院第二附属医院2026年硕士人才招聘公告
  • [陕西] 西安医学院第二附属医院2026年博士人才招聘公告
  • [江苏] 2026年苏州市中医医院、西苑医院苏州医院 公开招聘编外工作人员公告
  • [四川] 西南医科大学附属中医医院2026年4月招聘简章
  • [广东] 湛江中心人民医院2026年第二批工作人员招聘通告
  • [浙江] 关于核减(取消)部分2026年温州市瓯海区卫健系统公开选聘医学类优秀毕业生计划的公告

关于我们

  • 关于我们
  • 联系我们
  • 服务介绍

产品导航

  • 职位搜索
  • 查找医院
  • 公开招聘

其他

  • 意见反馈
  • 友情链接

医直聘 - 服务热线

400-921-9180

工作日 9:00-19:00

微信公众号

微信公众号

小程序

小程序

医直聘APP

医直聘APP

客服热线:400-921-9180   备案/许可证编号:浙ICP备17057990号-4   浙公网安备33010602013250号   增值电信业务经营许可证: 浙B2-20200435号   人才中介服务许可证号: 3301060001号

Copyright © 2019 杭州禾邦科技有限公司- 医直聘. 医疗人才招聘网 版权所有